本文共 3917 字,大约阅读时间需要 13 分钟。
const int maxm=1e6+5;int notprime[maxm];int prime[maxm],cnt;int mob[maxm];void Minit(){       mob[1]=1;    for(int i=2;i       =maxm)break;            notprime[prime[j]*i]=1;            mob[prime[j]*i]=i%prime[j]?-mob[i]:0;            if(i%prime[j]==0)break;        }    }}       μ是莫比乌斯函数
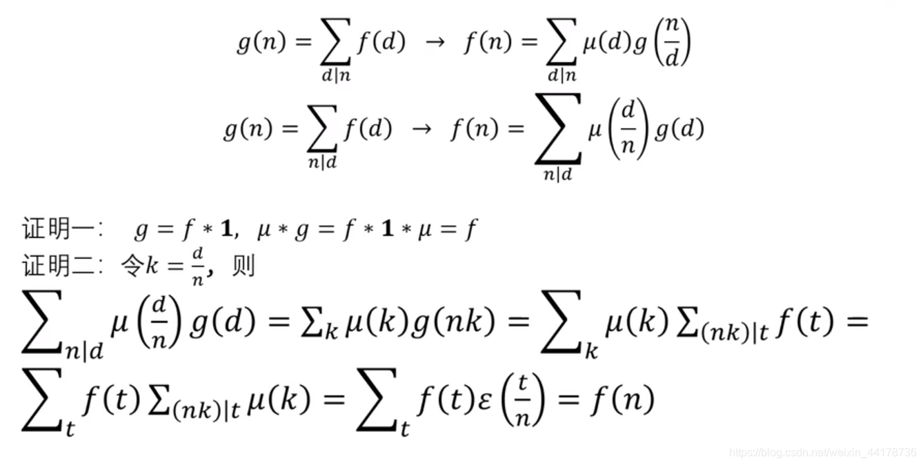
1.∑μ(d) = [n==1] (d|n,即d是n的因子) 2. ∑(μ(d)/d) = (ϕ(n)/n) (d|n,ϕ是欧拉函数),这个性质把莫比乌斯函数和欧拉函数联系起来了

给N,M,求有多少对1<=x<=N,1<=y<=M,满足gcd(x,y)=素数

 
  
   #includeusing namespace std;const int maxm=1e7+5;int notprime[maxm];int prime[maxm],cnt;int mu[maxm];int f[maxm];long long sum[maxm];void init(){ //预处理莫比乌斯函数 mu[1]=1; for(int i=2;i =maxm)break; notprime[prime[j]*i]=1; mu[prime[j]*i]=i%prime[j]?-mu[i]:0; if(i%prime[j]==0)break; } } //预处理sum[k]=∑mu(k/n) for(int j=0;j >T; while(T--){ int n,m; cin>>n>>m; if(n>m)swap(n,m); long long ans=0; for(int l=1,r;l<=n;l=r+1){ r=min(n/(n/l),m/(m/l)); ans+=(long long)(n/l)*(m/l)*(f[r]-f[l-1]); } cout< < 
给a,b,d,问有多少组x,y,满足1<=x<=a,1<=y<=b,gcd(x,y)=d

#includeusing namespace std;const int maxm=5e4+5;int notprime[maxm];int prime[maxm],cnt;int mu[maxm];int sum[maxm];void init(){ mu[1]=1; for(int i=2;i =maxm)break; notprime[prime[j]*i]=1; mu[prime[j]*i]=i%prime[j]?-mu[i]:0; if(i%prime[j]==0)break; } } for(int i=1;i >T; while(T--){ int a,b,d; scanf("%d%d%d",&a,&b,&d); long long ans=0; int up=min(a/d,b/d); for(int l=1,r;l<=up;l=r+1){ r=min((a/d)/(a/d/l),(b/d)/(b/d/l)); ans+=(long long)(a/d/l)*(b/d/l)*(sum[r]-sum[l-1]); } printf("%lld\n",ans); } return 0;} 
给a,b,c,d,k,问有多少组x,y,满足a<=x<=b,c<=y<=d,gcd(x,y)=k,数对(x,y)为无序对
爆炸a和c等于1,0<b,d<=1e5,0<=k<=1e5和上一题一样,但是这题是无序对,需要去重
#includeusing namespace std;#define int long longconst int maxm=1e6+5;int notprime[maxm];int prime[maxm],cnt;int mob[maxm];void Minit(){ mob[1]=1; for(int i=2;i =maxm)break; notprime[prime[j]*i]=1; mob[prime[j]*i]=i%prime[j]?-mob[i]:0; if(i%prime[j]==0)break; } } for(int i=1;i m)swap(n,m);//令n<=m int ans=0; for(int l=1,r;l<=n;l=r+1){ r=min(n/(n/l),m/(m/l)); ans+=(n/l)*(m/l)*(mob[r]-mob[l-1]); } //这题需要减掉重复的,因为题目的是无序对 int rep=0; for(int l=1,r;l<=n;l=r+1){ //n<=m,只有小于等于的部分才可能重复,因此这里只考虑n不考虑m r=n/(n/l); rep+=(n/l)*(n/l)*(mob[r]-mob[l-1]); } return ans-rep/2;}signed main(){ Minit(); int T;cin>>T; signed cas=1; while(T--){ int a,b,c,d,k;cin>>a>>b>>c>>d>>k; int ans=solve(b,d,k); printf("Case %d: ",cas++); cout< < 
给a,b,c,d,k,问有多少组x,y,满足a<=x<=b,c<=y<=d,gcd(x,y)=k
做过上一题 P3455 [POI2007]ZAP-Queries 的话就会发现那题就是a=1,c=1的情况
设f(A,B)是满足1<=x<=A,1<=y<=B,gcd(x,y)=k的数对数量 由容斥原理可得ans=f(b,d)-f(a-1,d)-f(b,c-1)+f(a-1,c-1) 式子的推导过程在上一题有了这里就不推了#includeusing namespace std;const int maxm=5e4+5;int notprime[maxm];int prime[maxm],cnt;int mu[maxm];int sum[maxm];void init(){ mu[1]=1; for(int i=2;i =maxm)break; notprime[prime[j]*i]=1; mu[prime[j]*i]=i%prime[j]?-mu[i]:0; if(i%prime[j]==0)break; } } for(int i=1;i >T; while(T--){ int a,b,c,d,k; scanf("%d%d%d%d%d",&a,&b,&c,&d,&k); long long ans=ask(b,d,k)-ask(a-1,d,k)-ask(b,c-1,k)+ask(a-1,c-1,k); printf("%lld\n",ans); } return 0;} 
转载地址:http://qtzv.baihongyu.com/